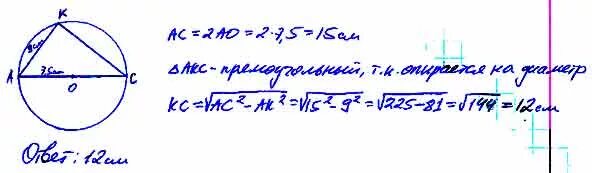
Найдите длину окружности с радиусом 7