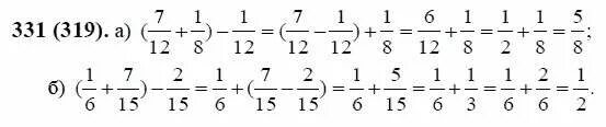
Найди значение выражения используя свойства вычитания