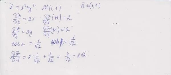
Найди z 5 z 1 2