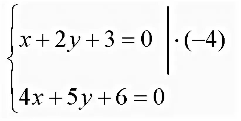
Найди координаты пересечения прямых заданных уравнениями