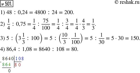
Найди число 5 его равны 4