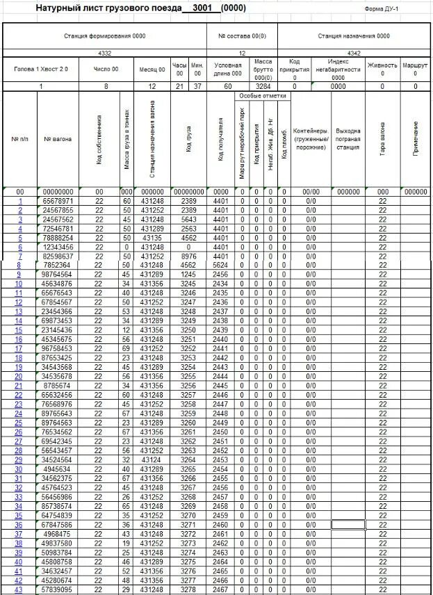
Натурный лист грузового поезда