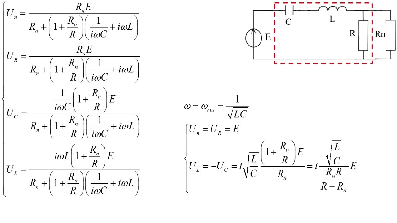
Напряжение в контуре