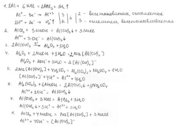
Напишите уравнение реакции al alcl3