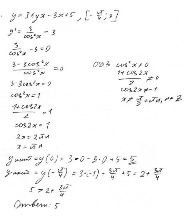
Наибольшее значение функции y 3tgx 3x 5