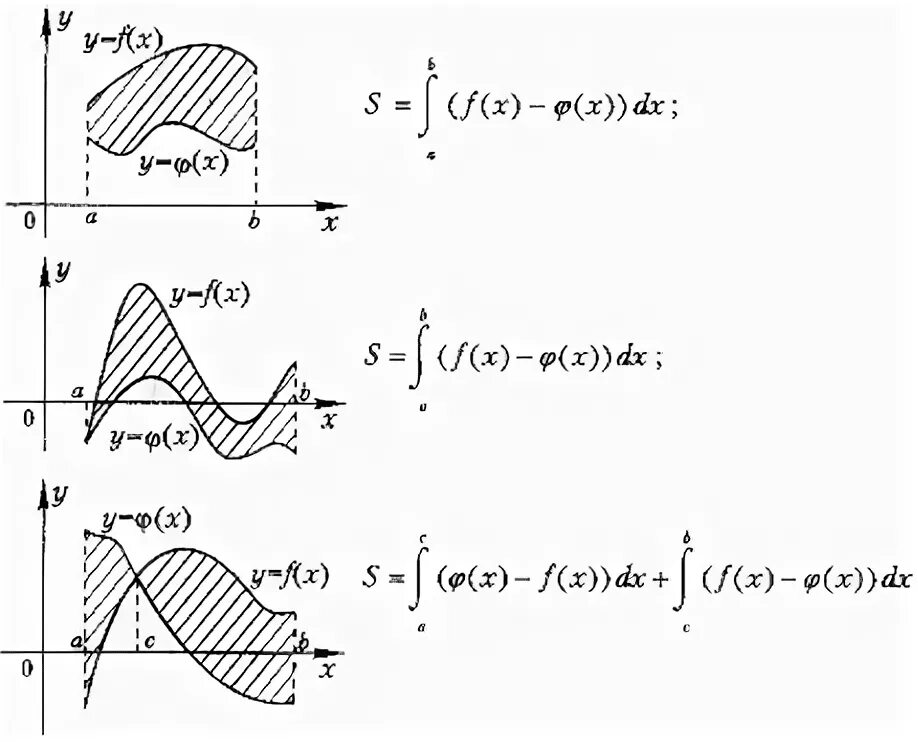
Нахождение площади с помощью интеграла