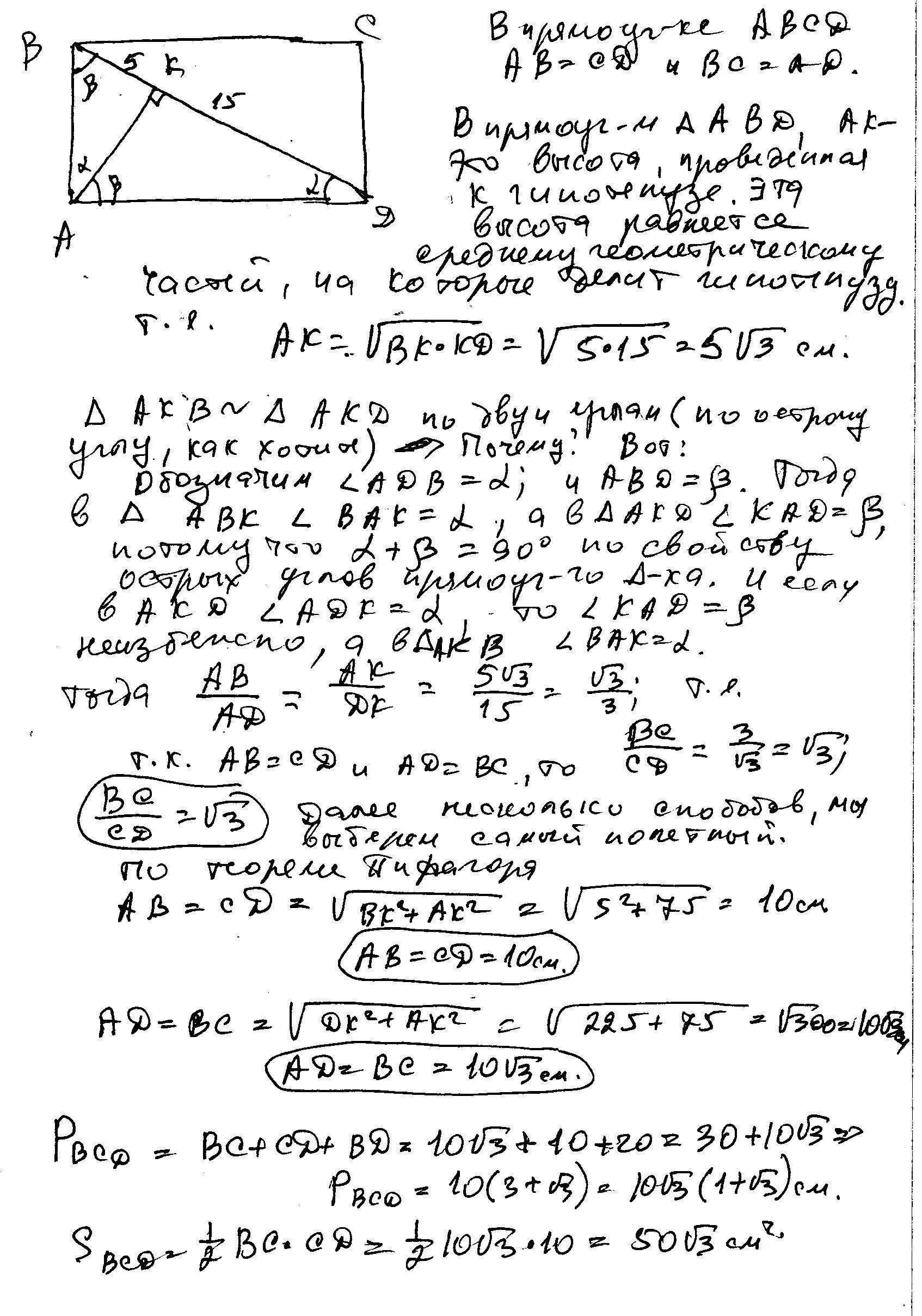
На рисунке abcd прямоугольник ch bd