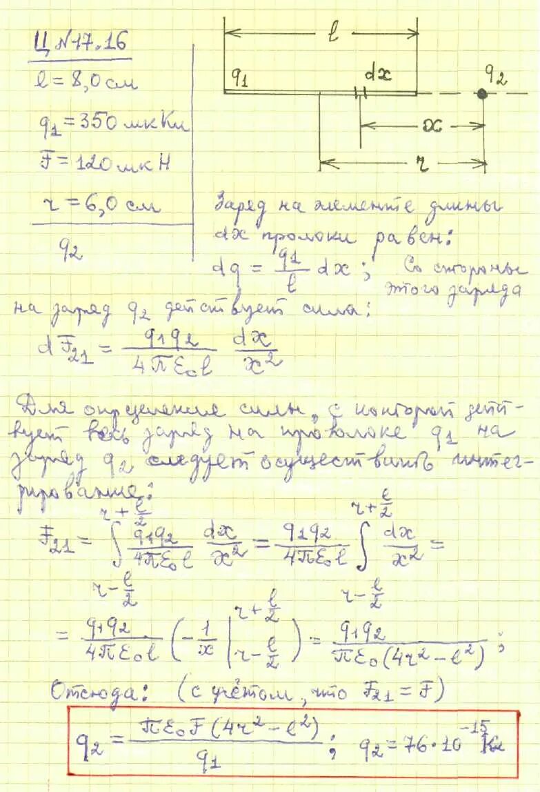
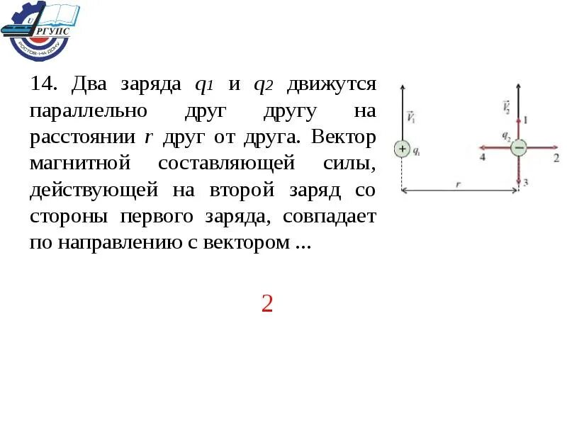
На расстоянии r 2r r