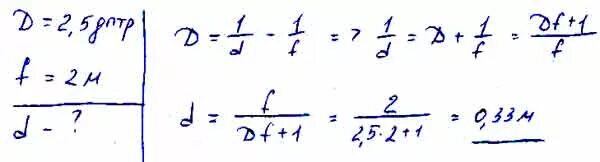
На каком расстоянии от двояковыпуклой линзы 0.42