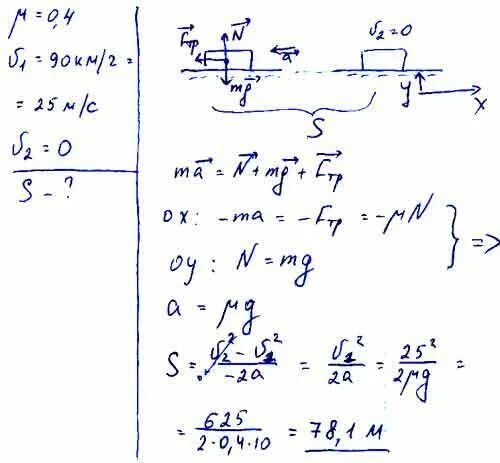
На каком минимальном расстоянии от перекрестка