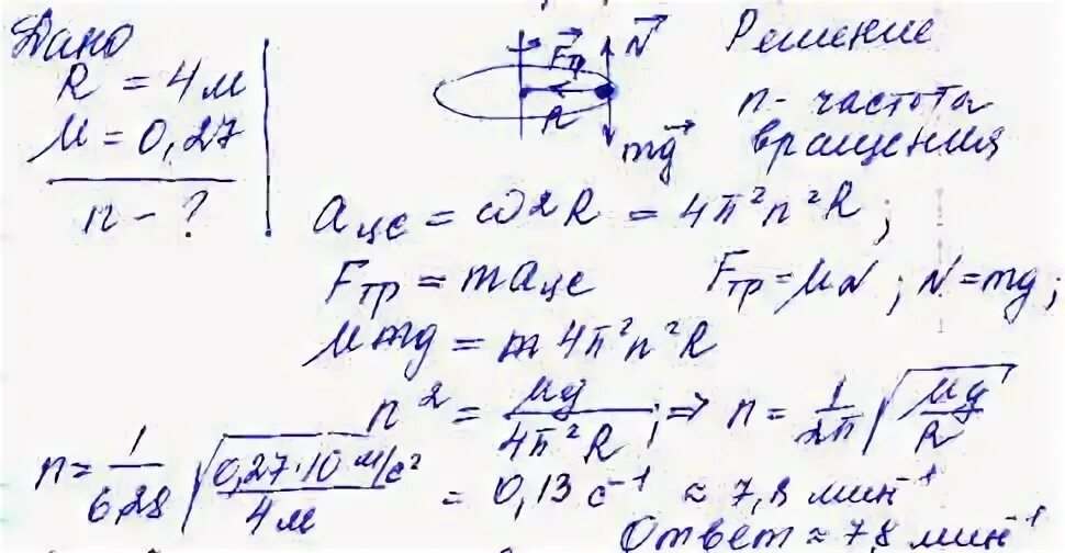
На горизонтальной вращающейся платформе на расстоянии