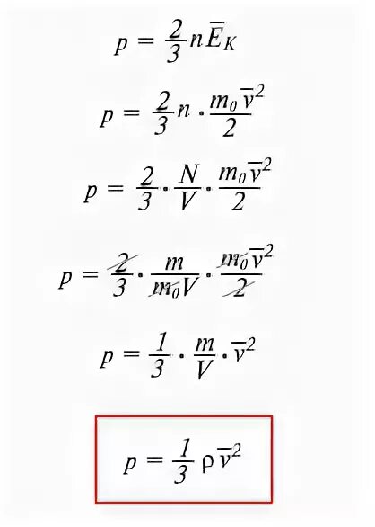
N v1 v2