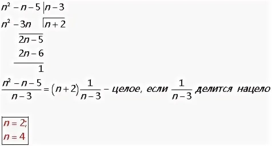
N при котором n p