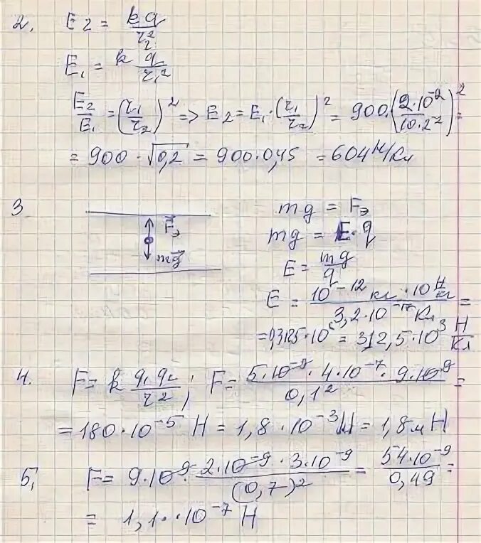
Н кл в в м