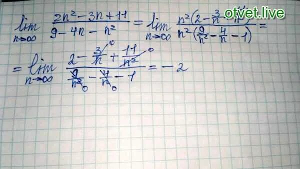
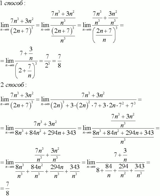
N бесконечность предел