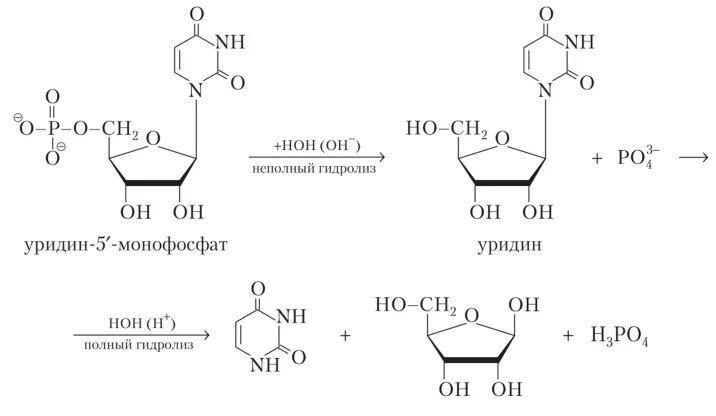
N 5 n 3 схема реакции