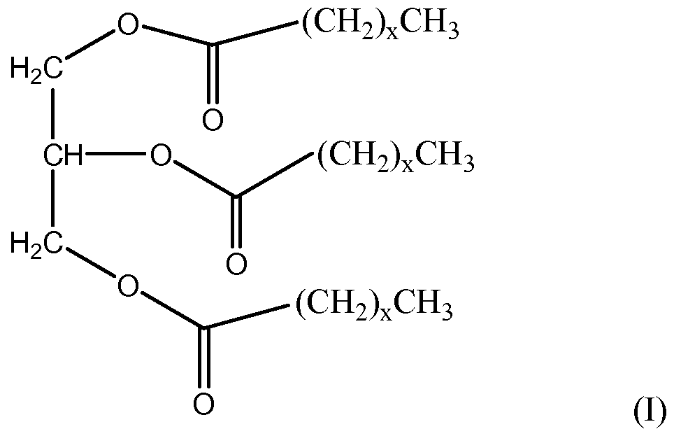
Мст триглицериды