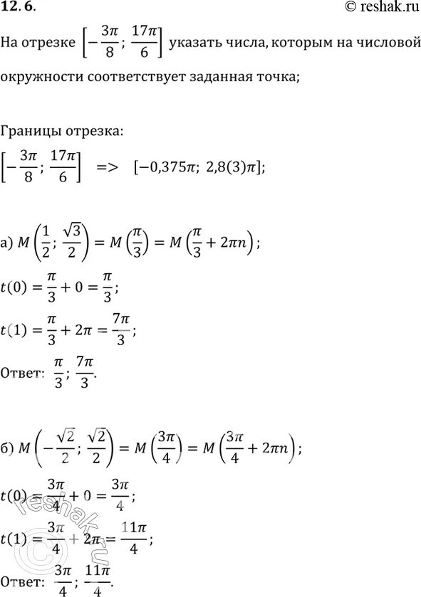
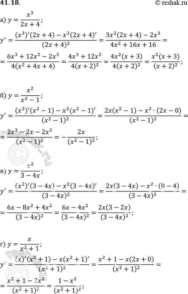
Мордкович 10 профильный уровень контрольные работы