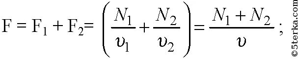
Модулей скоростей v1 v2