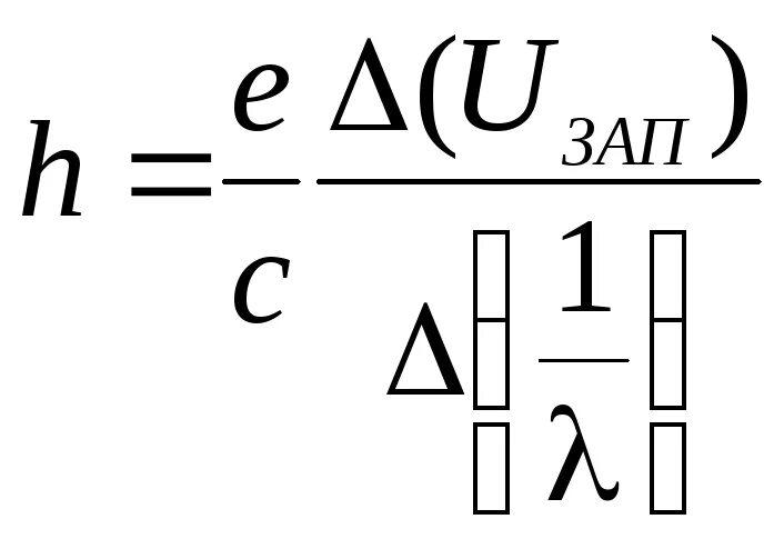
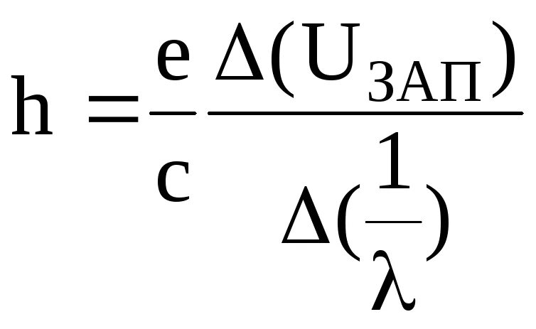
Модуль запирающего напряжения uзап