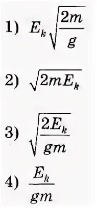
Модуль импульса шайбы у подножия горки