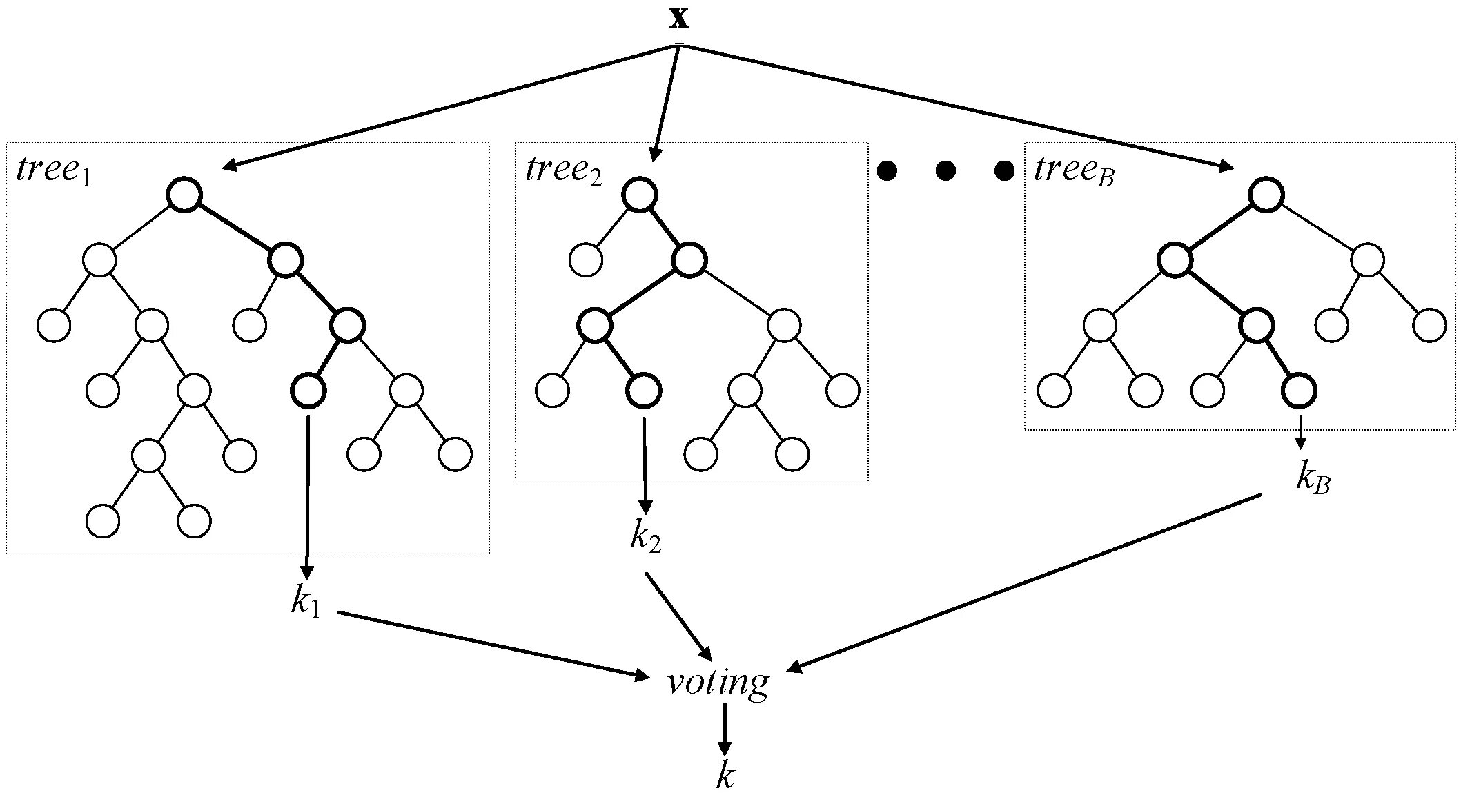
Модели градиентного бустинга