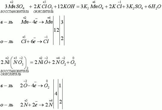
Mnco3 kclo3 mno2 kcl co2