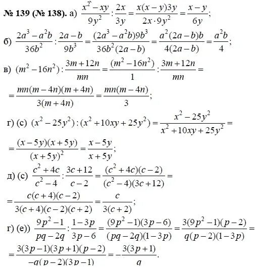
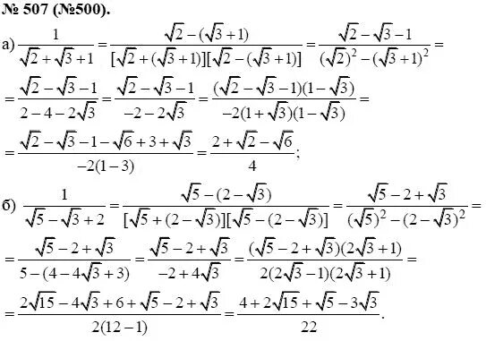
Миндюк алгебра 8 класс читать