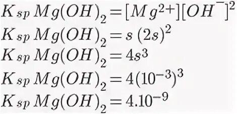
Mg2 2oh mg oh 2 соответствует взаимодействию