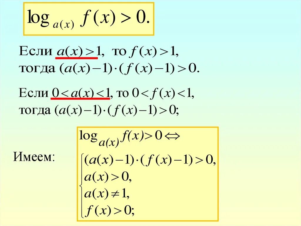
Метод рационализации логарифмических неравенств примеры