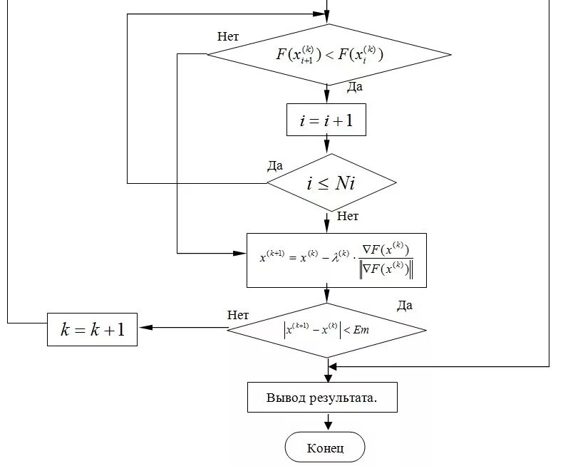
Метод поразрядного поиска