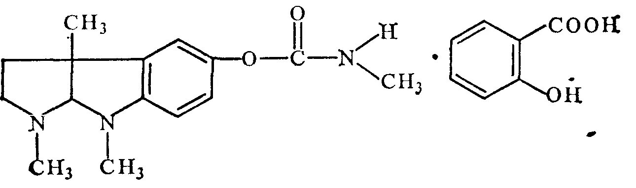
Метод количественного определения натрия салицилата