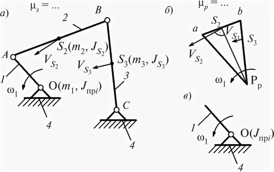
Механизм инерции