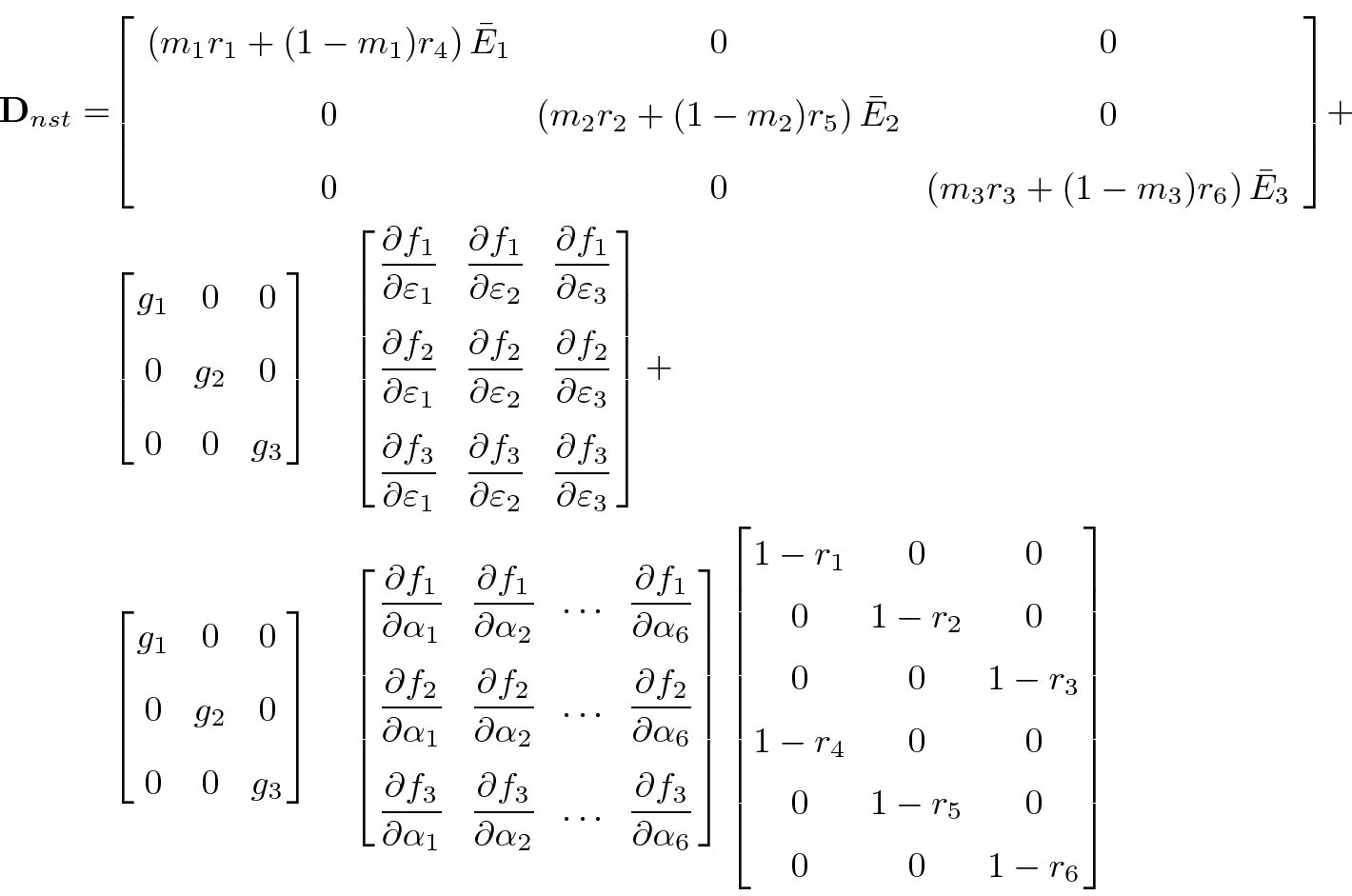
Matrix function