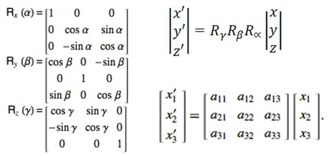
Матрица поворота в трехмерном пространстве