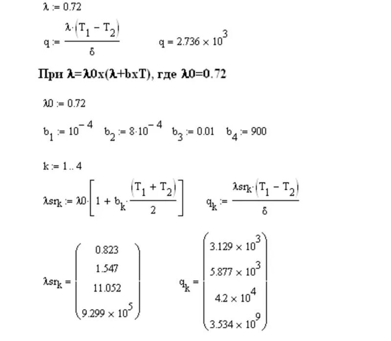
Mathcad индекс