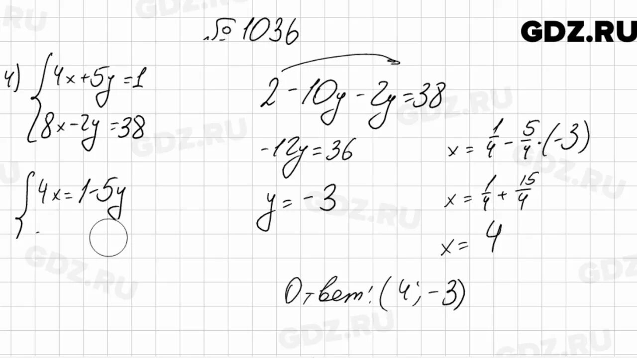
Математика шестой класс мерзляк номер 1036