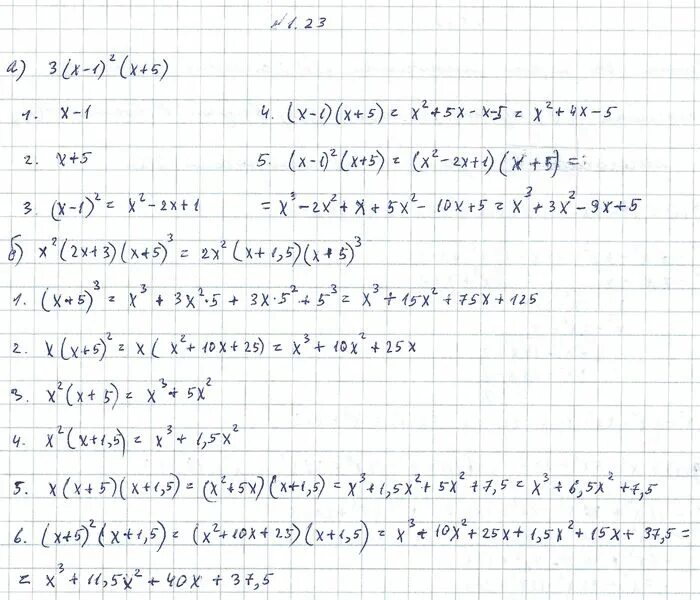
Математика 11 класс профильный уровень вариант 2