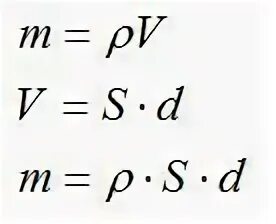
Массу умножаем на плотность