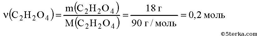
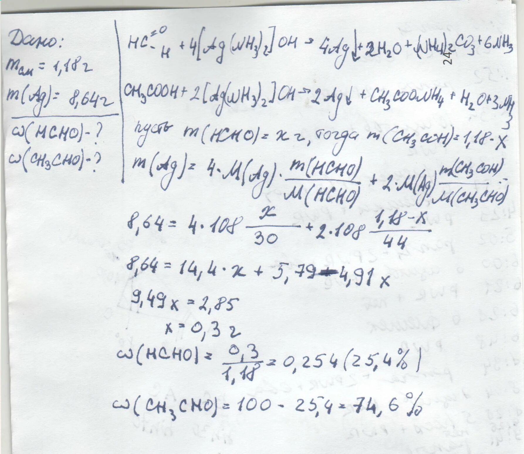
Массовую долю муравьиной кислоты