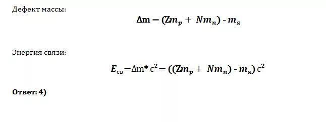
Масса протона и нейтрона в мэв