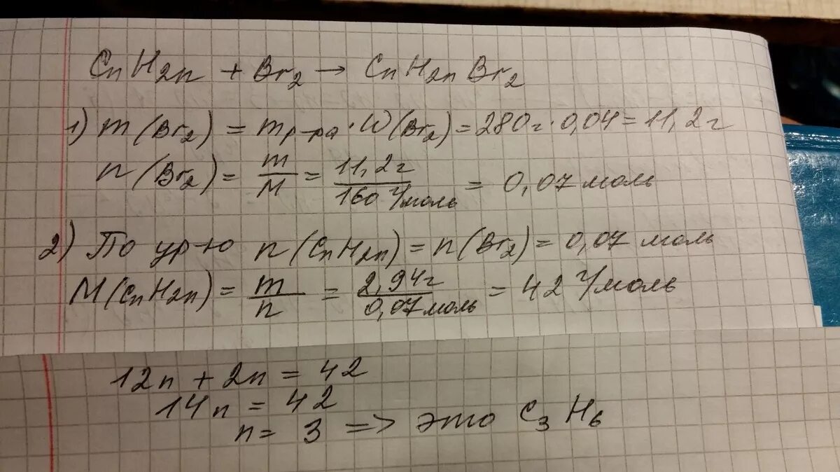
Масса брома в бромной воде