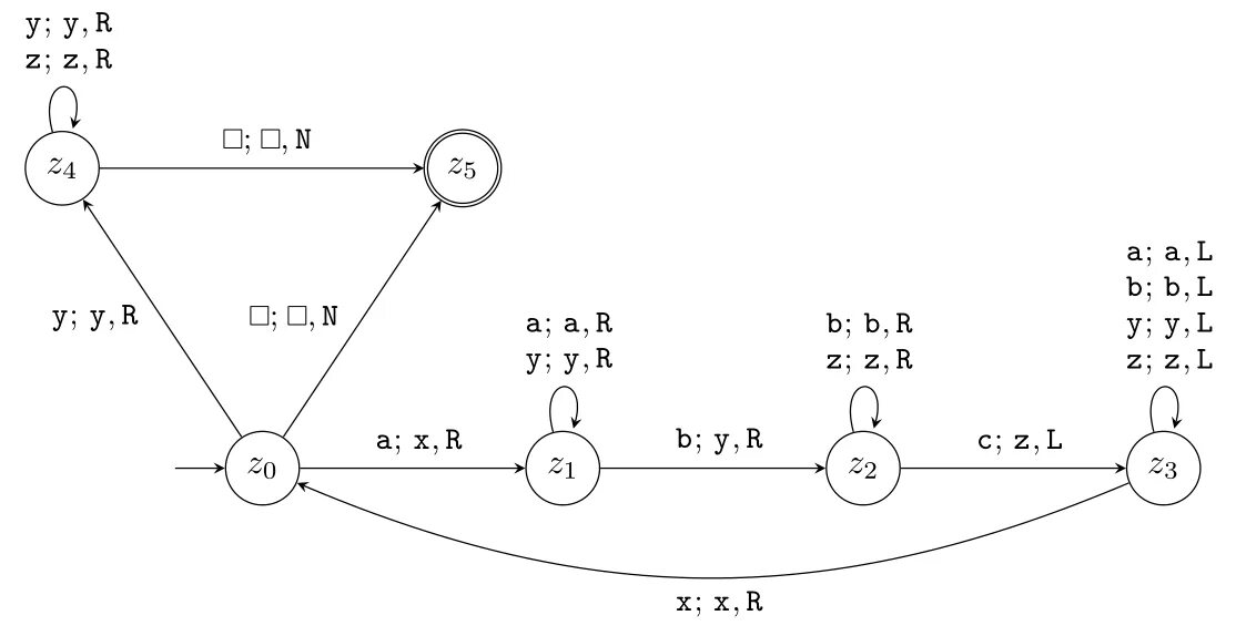
Машина тьюринга вычисления