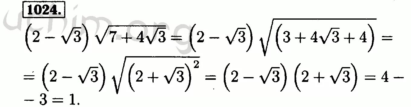
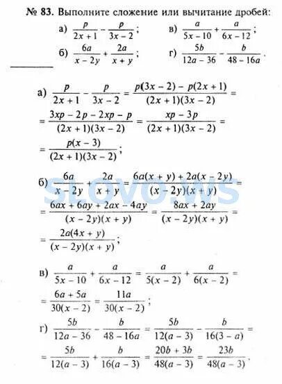
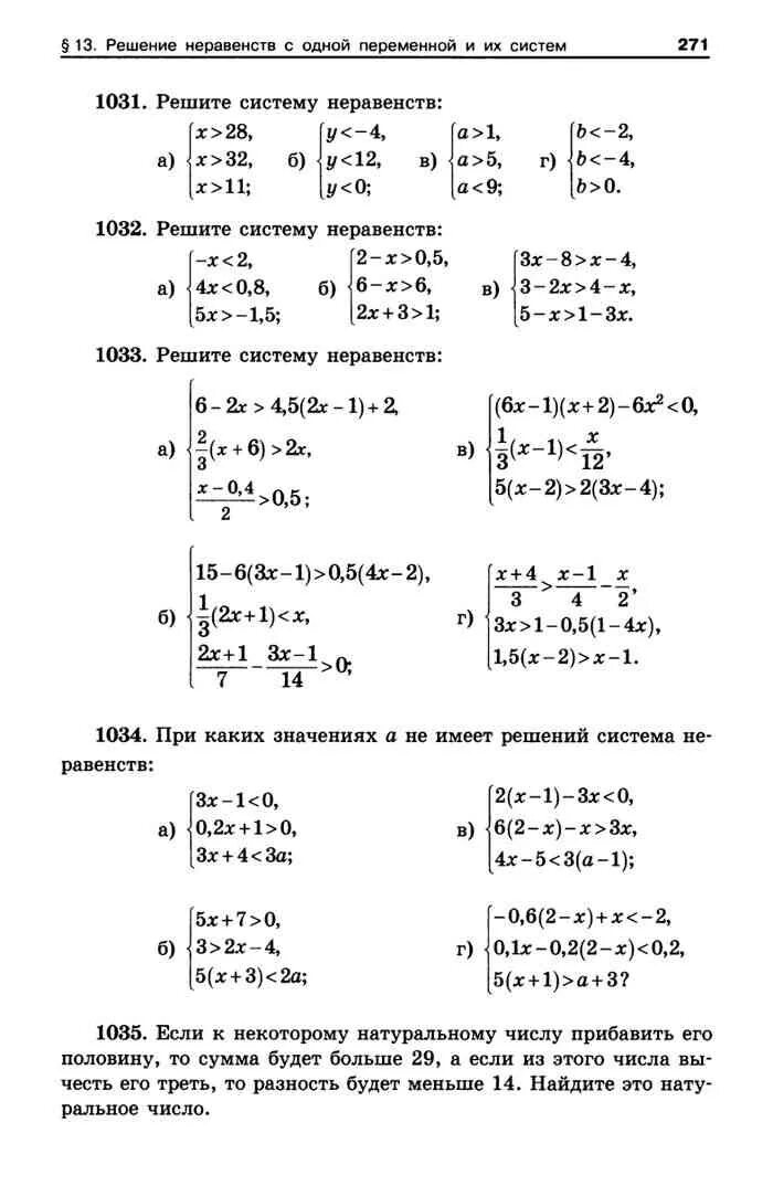
Макарычев 8 класс дидактический материал читать