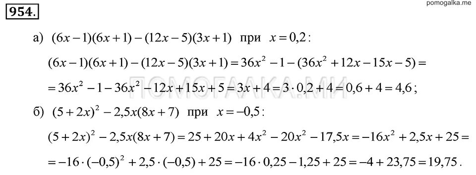
Макарычев 7 класс алгебра 2025 читать