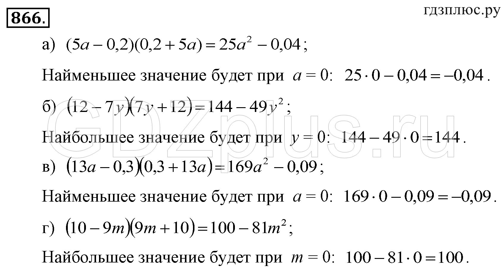
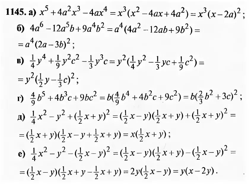
Макарычев 7 класс 887