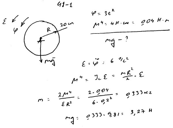
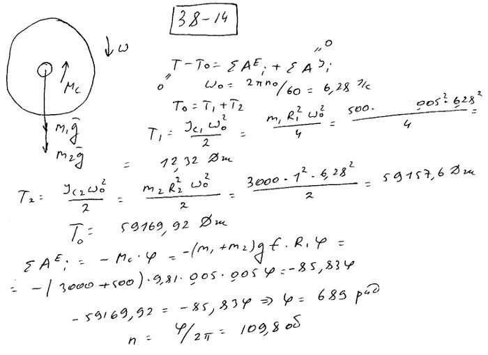
Маховик состоит из однородного диска массой