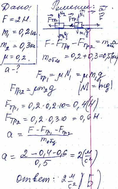
M1 3 2 m2 0 1