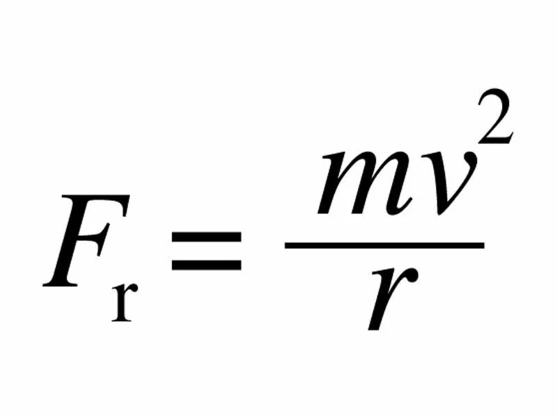
M v выражает