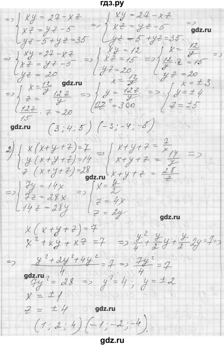
М в ткачева алгебра 8 класс